highlight_off
Riferimento annuncio 330541 info

Garage o Posto auto Via Montefiorino, 48024 Massa Lombarda (RA)

54,00
0
€ 3.200
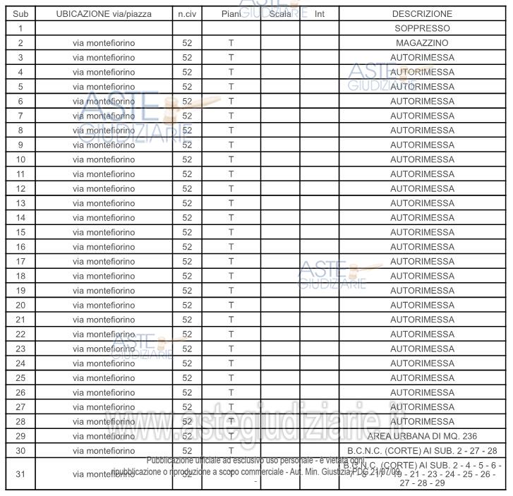
Vendita all'asta Senza incanto - LOTTO 21: Proprietà dell’area - corrispondente alla proprietà superficiaria dell’autorimessa, spettante a terzi (nella disponibilità dei quali terzi è quindi l’utilizzo dell’autorimessa stessa) - di porzione di fabbricato sito in Comune di Massa Lombarda (RA), in via Montefiorino, in zona periferica all'interno di un'area industriale/artigianale posta in prossimità dell'asse viario SP253 viario che collega Lugo a Sant'Agata sul Santerno, e precisamente: area sottostante autorimessa al piano terra. Prezzo base € 3.200,00 (offerta minima € 3.200,00). Data vendita 26/05/2026 ore 15:00. Professionista delegato alla vendita: Not. Pietro Bernardi Fabbrani - Email "info@delegatirimini.it"; Tel. 0541/52113. Rif. Ente Ministero delle Imprese e del Made in Italy - Liquidazione coatta n. 559/2015

Superficie 54,00 mq
Vani
Bagni
Piano 0

Tipologia di vendita Giudiziaria
Modalità di vendita Presso il venditore
Termine presentazione offerte 01/01/1900 ore 00:00
Data e ora inizio gara 26/05/2026 ore 15:00
Codice ID astegiudiziarie.it 4348379
54,00
0
€ 3.200

Ti interessa questa vendita?

north_east

Clicca qui per essere indirizzato alla scheda sul sito di provenienza

Bene di astegiudiziarie.it